感知机(Perceptron)学习笔记
简介
前言
感知机是由美国学者Frank Rosenblatt在1957年提出来的,是神经网络和支持向量机的基础。
感知机模型
感知机是什么? 感知机接收多个输入信号,输出一个信号。 和电流向前传输一样,不过感知机的信号只有“流/不流”(1/0)两种取值。这里,0对应“不传递信号”,1对应“传递信号”。
对感知机模型进行拆解:
1.输入部分
2.权重(就是w向量)
3.偏置
5.加权
6.输出
感知机原理
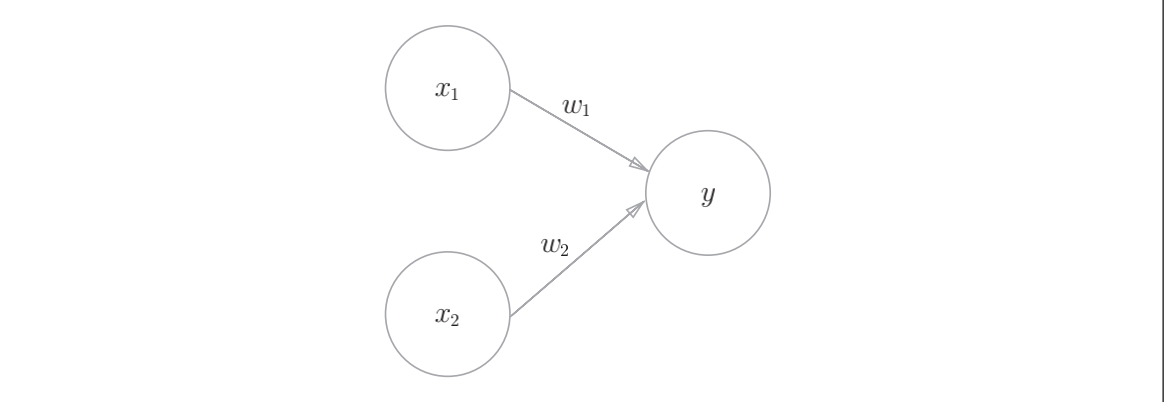
如上图1是一个接收两个输入信号的感知机的例子。x1、x2是输入信号,
y是输出信号,w1、w2是权重(w是weight的首字母)。图中的○称为“神
经元”或者“节点”。输入信号被送往神经元时,会被分别乘以固定的权重$(\omega_1x_1、\omega_1x_1)$
神经元会计算传送过来的信号的总和,只有当这个总和超过了某个界限值时,才会输出1。这也称为“神经元被激活”。
这里将这个界限值称为阈值,用符号θ表示。
以上就是感知机的原理,用数学式1表示如下:
$$ y = \begin{cases} 0 & \omega_1x_1 + \omega_2x_2 \le \theta \ 1 & \omega_1x_1 + \omega_2x_2 > \theta \end{cases} $$
感知机的多个输入信号都有各自固有的权重,这些权重发挥着控制各个 信号的重要性的作用。也就是说,权重越大,对应该权重的信号的重要性就越高。
简单逻辑电路
与门(AND gate)
与门是有两个输入和一个输出的门电路,与门仅在两个输入均为1时输出1,其他时候则输出0,如下图(就跟我们学习C语言时候的与或非是一样的)

下面考虑用感知机来表示这个与门 实际上,满足图2的条件的参数的选择方法有无数多个。比如,当(w1, w2, θ) = (0.5, 0.5, 0.7) 时,可以满足图 2的条件。此外,当 (w1, w2, θ) 为(0.5, 0.5, 0.8)或者(1.0, 1.0, 1.0)时,同样也满足与门的条件。设定这样的 参数后,仅当x1和x2同时为1时,信号的加权总和才会超过给定的阈值θ。
与非门(NAND gate)
NAND是Not AND的意思,与非门就是颠倒了与门的输出。用真值表表示的话,如下图,仅当x1和x2同时为1时输出0,其他时候则输出1:
要表示与非门,可以用(w1, w2, θ) = (−0.5, −0.5, −0.7)这样的组合(其他的组合也是无限存在的)。实际上,只要把实现与门的参数值的符号取反,就可以实现与非门。
或门
或门是“只要有一个输入信号是1,输出就为1”的逻辑电路。

那么我们来思考一下,应该为这个或门设定什么样的参数呢?
根据上述,我们可以知道:与门、与非门、或门的感知机构造是一样的。 实际上,3个门电路只有参数的值(权重和阈值)不同。也就是说,相同构造的感知机,只需通过适当地调整参数的值,就可以像“变色龙演员”表演不同的角色一样,变身为与门、与非门、或门。
感知机的实现
简单的实现
我们先来简单实现上述的逻辑电路。 我们先定义一个接收参数x1和x2的AND函数:
|
|
在函数内初始化$\omega_1、\omega_2、\theta$,当输入的加权总和超过阈值时返回1,否则返回0。
以上我们就实现了与门,同理我们也可以实现非门和或门
使用权重和偏置的实现
刚才的与门的实现比较直接、容易理解,但是考虑到以后的事情,我们将其修改为另外一种实现形式。在此之前,首先把式1的θ换成−b,于是就可以用式2来表示感知机的行为。
$$
y =
\begin{cases}
0 & b + \omega_1x_1 + \omega_2x_2 \le \theta \
1 & b + \omega_1x_1 + \omega_2x_2 > \theta
\end{cases}
$$
此处,b称为偏置,w1和w2称为权重。
感知机会计算输入信号和权重的乘积,然后加上偏置,如果这个值大于0则输出1,否则输出0
使用权重和偏置,可以像下面这样实现与门:
|
|
在这里,w1和w2是控制输入信号的重要性的参数,而偏置是调整神经元被激活的容易程度(输出信号为1的程度)的参数。 比如,若b为 −0.1,则只要输入信号的加权总和超过0.1,神经元就会被激活。但是如果b 为−20.0,则输入信号的加权总和必须超过20.0,神经元才会被激活。像这样,偏置的值决定了神经元被激活的容易程度。另外,这里我们将w1和w2称为权重,将b称为偏置,但是根据上下文,有时也会将b、w1、w2这些参数统称为权重。
实现与非门:
|
|
实现或门:
|
|
感知机的局限
异或门:
异或门也被称为逻辑异或电路。如下图所示,仅当x1或x2中的一方为1时,才会输出1(“异或”是拒绝其他的意思)。那么,要用感知机实现这个异或门的话,应该设定什么样的权重参数呢?

实际上,用前面介绍的感知机是无法实现这个异或门的。Why? 首先,我们试着将或门的动作形象化。或门的情况下,当权重参数(b, w1, w2) = (−0.5, 1.0, 1.0)时,可满足上图的真值表条件。此时,感知机可用下面的式子表示。
$$
y =
\begin{cases}
0 & -0.5 + x_1 + x_2 \le 0 \
1 & -0.5 + x_1 + x_2 > 0
\end{cases}
$$
上面表示的感知机会生成由直线−0.5 + x1 + x2 = 0分割开的两个空
间。其中一个空间输出1,另一个空间输出0,如图:

或门在(x1, x2) = (0, 0)时输出0,在(x1, x2)为(0, 1)、(1, 0)、(1, 1)时输出1。上图中,○表示0,△表示1。如果想制作或门,需要用直线将图中的○和△分开。实际上,刚才的那条直线就将这4个点正确地分开了。
那么,换成异或门的话会如何呢?能否像或门那样,用一条直线作出分
割图2-7中的○和△的空间呢?
想要用一条直线将图2-7中的○和△分开,无论如何都做不到。事实上,用一条直线是无法将○和△分开的。

线性/非线性
上图的○和△无法用一条直线分开,但是如果将“直线”这个限制条件去掉,就可以实现了。比如,我们可以像上上个图那样,作出分开○和△的空间。
感知机的局限性就在于它只能表示由一条直线分割的空间。上图这样弯曲的曲线无法用感知机表示。另外,由上图这样的曲线分割而成的空间称为
非线性空间,由直线分割而成的空间称为线性空间。

多层感知机
感知机不能表示异或门让人深感遗憾,但也无需悲观。实际上,感知机的绝妙之处在于它可以“叠加层”(通过叠加层来表示异或门是本节的要点)
已有电路的组合
异或门的制作方法有很多,其中之一就是组合我们前面做好的与门、与非门、或门进行配置。这里,与门、与非门、或门用下图中的符号表示。
另外,下图中与非门前端的○表示反转输出的意思

那么,思考一下,要实现异或门的话,需要如何配置与门、与非门和或门呢?

这里,x1和x2表示输入信号,y表示输出信号。x1和x2是与非门和或门的输入,而与非门和或门的输出则是与门的输入。
我们来测试一下上图是否真正实现了异或门:
这里,把s1作为与非门的输出,把s2作为或门的输出,填入真值表中。结果如下图所示,观察x1、x2、y,可以发现确实符合异或门的输出。

异或门的实现
下面我们使用Python实现上图所示的异或门(使用之前定义的函数):
|
|
下面我们试着用感知机的表示方法(明确地显示神经元)来表示这个异或门,如下图所示,异或门是一种多层结构的神经网络。这里,将最左边的一列称为第0层,中间的一列称为第1层,最右边的一列称为第2层。 叠加了多层的感知机也称为多层感知机(multi-layered perceptron)。

上图所示的2层感知机中,先在第0层和第1层的神经元之间进行信号的传送和接收,然后在第1层和第2层之间进行信号的传送和接收,具体如下所示。
- 第0层的两个神经元接收输入信号,并将信号发送至第1层的神经元。
- 第1层的神经元将信号发送至第2层的神经元,第2层的神经元输出y。
通过这样的结构(2层结构),感知机得以实现异或门。这可以解释为“单层感知机无法表示的东西,通过增加一层就可以解决”。也就是说,通过叠加层(加深层),感知机能进行更加灵活的表示。
多层感知机(在理论上)可以表示计算机